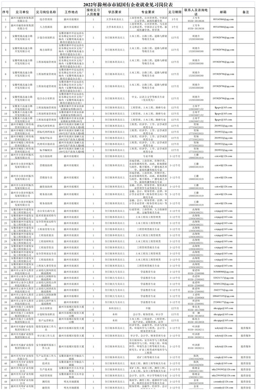
滁州市市屬國有企業招聘見習生
為落實國家穩就業有關決策部署,滁州市市屬國有企業提供了50個就業見習崗位,歡迎符合條件的高校畢業生報名應聘,具體崗位及條件詳情見附件。

(1)2022年滁州市市屬國有企業就業見習崗位表.xls
| beebcfcd78246c48a44b2ba263efa73e.xls(35.50 KB) |
滁州市市屬國有企業招聘見習生
為落實國家穩就業有關決策部署,滁州市市屬國有企業提供了50個就業見習崗位,歡迎符合條件的高校畢業生報名應聘,具體崗位及條件詳情見附件。

(1)2022年滁州市市屬國有企業就業見習崗位表.xls
| beebcfcd78246c48a44b2ba263efa73e.xls(35.50 KB) |